Home Browse Text SearchFunctional Group SearchStructure SearchPreferences Administration

selected data collection: 1

IRIS SDF: browse content


1
  <<    <    >    >>  

1:46016 C13H16N2O3
hit structure
1:46017 C19H18N2O6
hit structure
1:46018 C17H18N2O6
hit structure
1:46019 C13H13NO5
hit structure
1:46020 C19H16N2O7
hit structure
1:46021 C19H24N2O7
hit structure
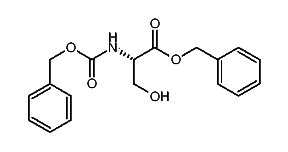
1:46022 C18H19NO5
hit structure
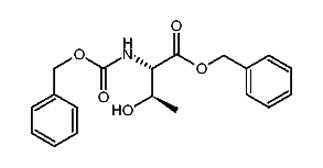
1:46023 C19H21NO5
hit structure
1:46024 C19H21NO5
hit structure
1:46025 C23H21N3O6
hit structure
1:46026 C24H23NO5
hit structure
1:46027 C25H28N2O7
hit structure
1:46028 C17H17NO5
hit structure
1:46029 C19H20N2O6
hit structure
1:46030 C17H20N2O6
hit structure
1:46031 C11H13NO4
hit structure
1:46032 C15H16N2O6
hit structure
1:46033 C18H25NO6
hit structure
1:46034 C23H21N3O5
hit structure
1:46035 C12H16N2O4
hit structure
1:46036 C12H16N2O4
hit structure
1:46037 C12H14N4O4
hit structure
1:46038 C12H14N4O4
hit structure
1:46039 C30H27NO4S
hit structure
1:46040 C18H19NO4
hit structure

1
  <<    <    >    >>  

entries in data collection: 130418