Home Browse Text SearchFunctional Group SearchStructure SearchPreferences Administration

selected data collection: 1

IRIS SDF: browse content


1
  <<    <    >    >>  

1:459848 C23H26BrN2O2P
hit structure
1:459849 C9H18N2O2
hit structure
1:459850 C9H18N2O2
hit structure
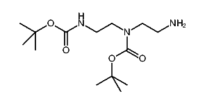
1:459851 C11H22N2O2
hit structure
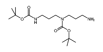
1:459852 C13H26N2O2
hit structure
1:459853 C14H29N3O4
hit structure
1:459854 C14H29N3O4
hit structure
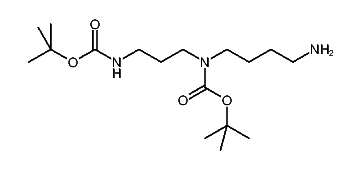
1:459855 C16H33N3O4
hit structure
1:459856 C16H33N3O4
hit structure
1:459857 C17H35N3O4
hit structure
1:459858 C17H35N3O4
hit structure
1:459859 C10H22N4O3
hit structure
1:459860 C24H50N4O4
hit structure
1:459861 C9H20N2O2S2
hit structure
1:459862 C13H28N2O2
hit structure
1:459863 C14H30N2O2
hit structure
1:459864 C15H32N2O2
hit structure
1:459865 C16H34N2O2
hit structure
1:459866 C17H36N2O2
hit structure
1:459867 C14H27N3O4
hit structure
1:459868 C9H19N3O2
hit structure
1:459869 C9H18N2O3
hit structure
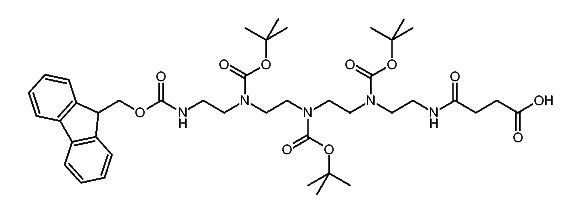
1:459870 C23H47N5O6
hit structure
1:459871 C42H61N5O11
hit structure
1:459872 C13H22N2O4S2
hit structure

1
  <<    <    >    >>  

entries in data collection: 478810