Home Browse Text SearchFunctional Group SearchStructure SearchPreferences Administration

selected data collection: 1

IRIS SDF: browse content


1
  <<    <    >    >>  

1:459198 C14H17NO4
hit structure
1:459199 C26H32N2O6
hit structure
1:459200 C22H34N2O6
hit structure
1:459201 C10H19NO5S
hit structure
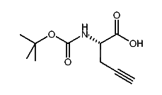
1:459202 C11H21NO4
hit structure
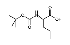
1:459203 C10H19NO4
hit structure
1:459204 C18H25ClN2O6
hit structure
1:459205 C14H18ClNO4
hit structure
1:459206 C14H18FNO4
hit structure
1:459207 C14H17Cl2NO4
hit structure
1:459208 C14H17F2NO4
hit structure
1:459209 C14H18ClNO4
hit structure
1:459210 C14H18INO4
hit structure
1:459211 C14H18BrNO4
hit structure
1:459212 C14H18ClNO4
hit structure
1:459213 C15H21NO4
hit structure
1:459214 C14H20N2O4
hit structure
1:459215 C29H30N2O6
hit structure
1:459216 C22H26N2O6
hit structure
1:459217 C14H18N2O6
hit structure
1:459218 C14H14F5NO4
hit structure
1:459219 C10H15NO4
hit structure
1:459220 C12H23NO5
hit structure
1:459221 C13H25NO5
hit structure
1:459222 C21H23Cl2NO5
hit structure

1
  <<    <    >    >>  

entries in data collection: 473778