Home Browse Text SearchFunctional Group SearchStructure SearchPreferences Administration

selected data collection: 1

IRIS SDF: browse content


1
  <<    <    >    >>  

1:459148 C15H29NO4
hit structure
1:459149 C16H31NO4
hit structure
1:459150 C17H33NO4
hit structure
1:459151 C12H15NO4
hit structure
1:459152 C12H15NO4
hit structure
1:459153 C12H15NO4
hit structure
1:459154 C13H17NO4
hit structure
1:459155 C13H23NO4
hit structure
1:459156 C11H21NO4
hit structure
1:459157 C13H25NO4
hit structure
1:459158 C18H21NO4
hit structure
1:459159 C9H17NO4
hit structure
1:459160 C16H21NO4
hit structure
1:459161 C18H28N4O6S
hit structure
1:459162 C21H23NO5
hit structure
1:459163 C10H18N2O5
hit structure
1:459164 C17H23NO6
hit structure
1:459165 C19H28N2O6
hit structure
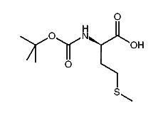
1:459166 C10H19NO4S
hit structure
1:459167 C14H18FNO4
hit structure
1:459168 C14H17Cl2NO4
hit structure
1:459169 C14H17F2NO4
hit structure
1:459170 C14H18FNO4
hit structure
1:459171 C14H18INO4
hit structure
1:459172 C14H18BrNO4
hit structure

1
  <<    <    >    >>  

entries in data collection: 468746