Home Browse Text SearchFunctional Group SearchStructure SearchPreferences Administration

selected data collection: 1

IRIS SDF: browse content


1
  <<    <    >    >>  

1:458323 C32H37NO7
hit structure
1:458324 C46H43NO5S
hit structure
1:458325 C30H34N2O6S
hit structure
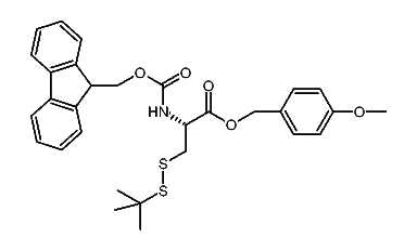
1:458326 C31H37NO5S
hit structure
1:458327 C31H37NO5S2
hit structure
1:458328 C48H46N2O6
hit structure
1:458329 C33H39NO7
hit structure
1:458330 C26H27NO5
hit structure
1:458331 C49H45N3O5
hit structure
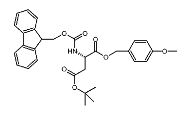
1:458332 C30H35NO5
hit structure
1:458333 C30H35NO5
hit structure
1:458334 C35H44N2O7
hit structure
1:458335 C29H33NO5S
hit structure
1:458336 C30H35NO5
hit structure
1:458337 C34H42N2O7
hit structure
1:458338 C33H33NO5
hit structure
1:458339 C29H31NO5
hit structure
1:458340 C31H37NO6
hit structure
1:458341 C32H39NO6
hit structure
1:458342 C37H41NO6
hit structure
1:458343 C29H33NO5
hit structure
1:458344 C40H42N2O7
hit structure
1:458345 C89H91N7O14
hit structure
1:458346 C96H98N8O15
hit structure
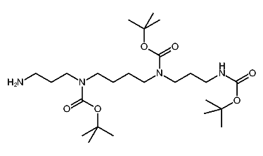
1:458347 C25H50N4O6
hit structure

1
  <<    <    >    >>  

entries in data collection: 458682