Home Browse Text SearchFunctional Group SearchStructure SearchPreferences Administration

selected data collection: 1

IRIS SDF: browse content


1
  <<    <    >    >>  

1:458023 C15H12N5NaO7S
hit structure
1:458024 C20H18N2O3S2
hit structure
1:458025 C10H13N5O3
hit structure
1:458026 C18H18N6O2
hit structure
1:458027 C27H36N6O7
hit structure
1:458028 C10H10N2O3
hit structure
1:458029 C19H23N9O2
hit structure
1:458030 C24H33N9O6
hit structure
1:458031 C12H21N5O4
hit structure
1:458032 C20H19N7O4
hit structure
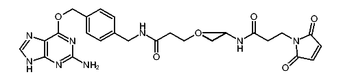
1:458033 C31H40N8O9
hit structure
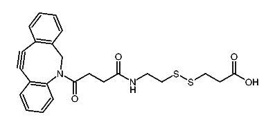
1:458034 C21H21N7O2S2
hit structure
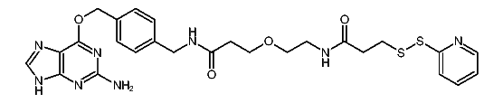
1:458035 C26H30N8O4S2
hit structure
1:458036 C34H31N7O3
hit structure
1:458037 C24H22N2O2
hit structure
1:458038 C23H21F9N4O4S
hit structure
1:458039 C21H16F9NO5S
hit structure
1:458040 C35H41F9N4O6S2
hit structure
1:458041 C16H30N4O4S
hit structure
1:458042 C7H7N3O
hit structure
1:458043 C8H4N2O4S
hit structure
1:458044 C12H16N2O5S2
hit structure
1:458045 C5H9N3O2S2
hit structure
1:458046 C24H24N2O4S2
hit structure
1:458047 C14H24N6O2S3
hit structure

1
  <<    <    >    >>  

entries in data collection: 458682