Home Browse Text SearchFunctional Group SearchStructure SearchPreferences Administration

selected data collection: 1

IRIS SDF: browse content


1
  <<    <    >    >>  

1:456430 C8H15N3O6
hit structure
1:456431 C8H15N3O6
hit structure
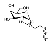
1:456432 C10H18N4O6
hit structure
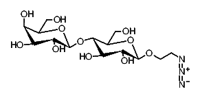
1:456433 C14H25N3O11
hit structure
1:456434 C15H28O11
hit structure
1:456435 C17H31NO11
hit structure
1:456436 C17H31NO11
hit structure
1:456437 C15H28O11
hit structure
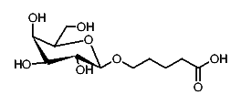
1:456438 C11H20O8
hit structure
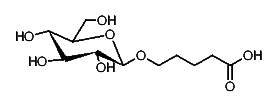
1:456439 C11H20O8
hit structure
1:456440 C13H23NO8
hit structure
1:456441 C13H23NO8
hit structure
1:456442 C11H20O8
hit structure
1:456443 C31H36N6O7
hit structure
1:456444 C15H15Cl2N5O6
hit structure
1:456445 C28H31ClN6O7
hit structure
1:456446 C28H31ClN6O7
hit structure
1:456447 C22H24N2O9S
hit structure
1:456448 C24H28FN3O10
hit structure
1:456449 C30H42N2O11
hit structure
1:456450 C30H29F2NO9
hit structure
1:456451 C5H10O5
hit structure
1:456452 C34H44O27R11-
hit structure
1:456453 C5H10O5
hit structure
1:456454 C34H44O27R11-
hit structure

1
  <<    <    >    >>  

entries in data collection: 458682