Home Browse Text SearchFunctional Group SearchStructure SearchPreferences Administration

selected data collection: 1

IRIS SDF: browse content


1
  <<    <    >    >>  

1:454956 C52H64N6O10S
hit structure
1:454957 C8H11N
hit structure
1:454958 C15H21NO4
hit structure
1:454959 C11H17NO
hit structure
1:454960 C15H21NO4
hit structure
1:454961 C11H17NO
hit structure
1:454962 C11H15BrO
hit structure
1:454963 C17H25NO3
hit structure
1:454964 C18H30O5
hit structure
1:454965 C19H22O4
hit structure
1:454966 C18H20O3
hit structure
1:454967 C19H23NO3
hit structure
1:454968 C28H30N2O6
hit structure
1:454969 C21H34N2O6
hit structure
1:454970 C29H32N2O6
hit structure
1:454971 C28H30N2O6
hit structure
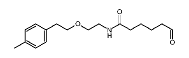
1:454972 C20H30N2O6
hit structure
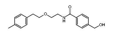
1:454973 C21H34N2O6
hit structure
1:454974 C31H36N2O6
hit structure
1:454975 C16H25NO6
hit structure
1:454976 C31H36N2O6
hit structure
1:454977 C31H36N2O6
hit structure
1:454978 C34H42N2O6
hit structure
1:454979 C15H23NO4S
hit structure
1:454980 C34H42N2O6
hit structure

1
  <<    <    >    >>  

entries in data collection: 458682