Home Browse Text SearchFunctional Group SearchStructure SearchPreferences Administration

selected data collection: 1

IRIS SDF: browse content


1
  <<    <    >    >>  

1:454578 C12H21NO5
hit structure
1:454579 C12H21NO4
hit structure
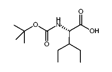
1:454580 C14H25NO4
hit structure
1:454581 C14H19NO4
hit structure
1:454582 C15H21NO4
hit structure
1:454583 C10H17NO5
hit structure
1:454584 C12H16N2O5
hit structure
1:454585 C12H23NO4
hit structure
1:454586 C12H19N3O4
hit structure
1:454587 C12H19N3O4
hit structure
1:454588 C21H29N3O5
hit structure
1:454589 C23H44N2O5
hit structure
1:454590 C10H17NO4
hit structure
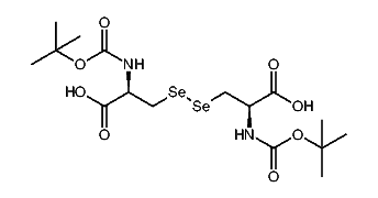
1:454591 C16H28N2O8Se2
hit structure
1:454592 C25H28N2O6
hit structure
1:454593 C13H25NO4
hit structure
1:454594 C11H21NO5
hit structure
1:454595 C12H17NO5
hit structure
1:454596 C12H17NO5
hit structure
1:454597 C13H23NO4
hit structure
1:454598 C16H23NO5Se
hit structure
1:454599 C16H20F3NO4
hit structure
1:454600 C13H25NO4
hit structure
1:454601 C18H35NO4
hit structure
1:454602 C21H41NO4
hit structure

1
  <<    <    >    >>  

entries in data collection: 458682