Home Browse Text SearchFunctional Group SearchStructure SearchPreferences Administration

selected data collection: 1

IRIS SDF: browse content


1
  <<    <    >    >>  

1:454403 C12H16N2O6S
hit structure
1:454404 C21H35NO3
hit structure
1:454405 C21H21N5O5
hit structure
1:454406 C8H15N5O3
hit structure
1:454407 C6H12N2O4Se2
hit structure
1:454408 C12H14N2O6Se
hit structure
1:454409 C14H19N5O4
hit structure
1:454410 C14H19N5O4
hit structure
1:454411 C25H32N2O4
hit structure
1:454412 C12H20N2O5
hit structure
1:454413 C11H18N2O3
hit structure
1:454414 C9H15N3O2
hit structure
1:454415 C26H26N2O4
hit structure
1:454416 C12H26N2O4Si
hit structure
1:454417 C10H12N2O4Se
hit structure
1:454418 C12H13N5O2
hit structure
1:454419 C11H14N2O4Se
hit structure
1:454420 C14H16N8O2
hit structure
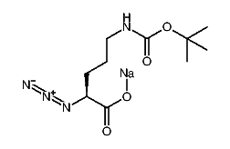
1:454421 C10H17N4NaO4
hit structure
1:454422 C12H13N5O2
hit structure
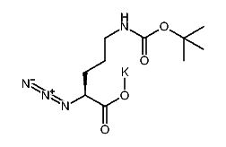
1:454423 C10H17KN4O4
hit structure
1:454424 C15H19N5O2
hit structure
1:454425 C14H17N5O2
hit structure
1:454426 C20H32N4O5S
hit structure
1:454427 C11H23N3O3
hit structure

1
  <<    <    >    >>  

entries in data collection: 458682