Home Browse Text SearchFunctional Group SearchStructure SearchPreferences Administration

selected data collection: 1

IRIS SDF: browse content


1
  <<    <    >    >>  

1:454153 C9H17NO4
hit structure
1:454154 C16H21NO4
hit structure
1:454155 C18H21NO4
hit structure
1:454156 C13H18N2O4
hit structure
1:454157 C21H34N4O7S
hit structure
1:454158 C16H21NO6
hit structure
1:454159 C21H23NO5
hit structure
1:454160 C14H25NO4
hit structure
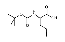
1:454161 C13H23NO4
hit structure
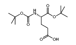
1:454162 C14H25NO6
hit structure
1:454163 C18H23N3O4
hit structure
1:454164 C15H21NO5
hit structure
1:454165 C17H23NO5
hit structure
1:454166 C14H17NO4
hit structure
1:454167 C26H32N2O6
hit structure
1:454168 C22H34N2O6
hit structure
1:454169 C10H19NO5S
hit structure
1:454170 C11H21NO4
hit structure
1:454171 C10H19NO4
hit structure
1:454172 C18H25ClN2O6
hit structure
1:454173 C14H18ClNO4
hit structure
1:454174 C14H18FNO4
hit structure
1:454175 C14H17Cl2NO4
hit structure
1:454176 C14H17F2NO4
hit structure
1:454177 C14H18ClNO4
hit structure

1
  <<    <    >    >>  

entries in data collection: 463714