Home Browse Text SearchFunctional Group SearchStructure SearchPreferences Administration

selected data collection: 1

IRIS SDF: browse content


1
  <<    <    >    >>  

1:453958 C11H17N3O4
hit structure
1:453959 C11H21NO4
hit structure
1:453960 C19H27ClN2O6
hit structure
1:453961 C15H26N2O6
hit structure
1:453962 C21H36N4O6S
hit structure
1:453963 C16H30N2O6
hit structure
1:453964 C26H32N2O6
hit structure
1:453965 C11H22N2O4
hit structure
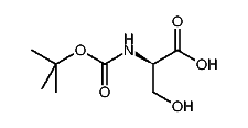
1:453966 C9H17NO4
hit structure
1:453967 C15H21NO4
hit structure
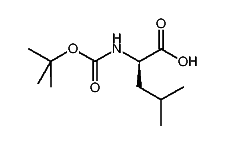
1:453968 C11H21NO4
hit structure
1:453969 C14H18ClNO4
hit structure
1:453970 C14H18ClNO4
hit structure
1:453971 C14H19NO4
hit structure
1:453972 C13H17NO4
hit structure
1:453973 C11H19NO4
hit structure
1:453974 C10H17NO4
hit structure
1:453975 C15H21NO5
hit structure
1:453976 C8H15NO5
hit structure
1:453977 C15H19NO4
hit structure
1:453978 C16H20N2O4
hit structure
1:453979 C22H24BrNO7
hit structure
1:453980 C17H23NO5
hit structure
1:453981 C10H19NO4
hit structure
1:453982 C7H13NO4
hit structure

1
  <<    <    >    >>  

entries in data collection: 463714