Home Browse Text SearchFunctional Group SearchStructure SearchPreferences Administration

selected data collection: 1

IRIS SDF: browse content


1
  <<    <    >    >>  

1:452933 C15H25N3O4S3
hit structure
1:452934 C23H26N2O5S2
hit structure
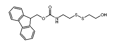
1:452935 C10H18N4O3S2
hit structure
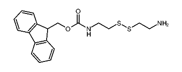
1:452936 C10H15NO3S2
hit structure
1:452937 C53H59N3O5S
hit structure
1:452938 C53H60N4O4S
hit structure
1:452939 C19H22N2O2S2
hit structure
1:452940 C14H26N4O2S3
hit structure
1:452941 C9H12N2O4
hit structure
1:452942 C7H8N2O2
hit structure
1:452943 C17H21N3O8
hit structure
1:452944 C10H12N2O6
hit structure
1:452945 C15H21NO4
hit structure
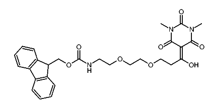
1:452946 C28H31N3O8
hit structure
1:452947 C12H18N4O4
hit structure
1:452948 C13H19N3O2S
hit structure
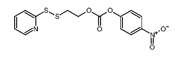
1:452949 C14H12N2O5S2
hit structure
1:452950 C9H19NO3S2
hit structure
1:452951 C16H22N2O7S2
hit structure
1:452952 C19H21NO3S2
hit structure
1:452953 C26H24N2O7S2
hit structure
1:452954 C19H14N2O5S2
hit structure
1:452955 C14H21NO3S2
hit structure
1:452956 C21H24N2O7S2
hit structure
1:452957 C24H23NO3S2
hit structure

1
  <<    <    >    >>  

entries in data collection: 453650