Home Browse Text SearchFunctional Group SearchStructure SearchPreferences Administration

selected data collection: 1

IRIS SDF: browse content


1
  <<    <    >    >>  

1:452135 C23H34N4O4S3
hit structure
1:452136 C14H20N4O4
hit structure
1:452137 C16H15N5
hit structure
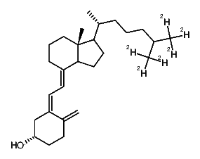
1:452138 C27H38D6O2
hit structure
1:452139 C27H40D6O2
hit structure
1:452140 C27H38D6O
hit structure
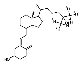
1:452141 C27H38D6O2
hit structure
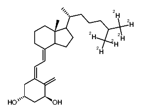
1:452142 C27H38D6O3
hit structure
1:452143 C27H41D3O
hit structure
1:452144 C27H38D6O
hit structure
1:452145 C27H40D6O
hit structure
1:452146 C28H38D6O2
hit structure
1:452147 C28H38D6O2
hit structure
1:452148 C28H38D6O3
hit structure
1:452149 C28H41D3O
hit structure
1:452150 C28H38D6O
hit structure
1:452151 C29H47D3O2
hit structure
1:452152 C29H44D6O2
hit structure
1:452153 C31H46D6O3
hit structure
1:452154 C29H41D9O2
hit structure
1:452155 C31H43D9O3
hit structure
1:452156 C16H25ClN2O4
hit structure
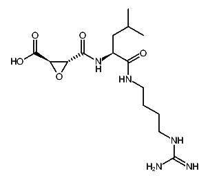
1:452157 C15H27N5O5
hit structure
1:452158 C40H78N12O12S
hit structure
1:452159 C34H63N5O9
hit structure

1
  <<    <    >    >>  

entries in data collection: 453650