Home Browse Text SearchFunctional Group SearchStructure SearchPreferences Administration

selected data collection: 1

IRIS SDF: browse content


1
  <<    <    >    >>  

1:451309 C23H26N2O5
hit structure
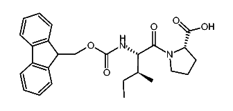
1:451310 C26H30N2O5
hit structure
1:451311 C23H26N2O5
hit structure
1:451312 C26H30N2O5
hit structure
1:451313 C31H39N3O7
hit structure
1:451314 C26H24N2O5
hit structure
1:451315 C29H28N2O5
hit structure
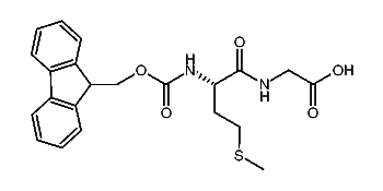
1:451316 C22H22N2O5
hit structure
1:451317 C25H26N2O5
hit structure
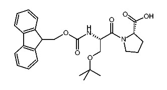
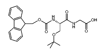
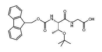
1:451318 C24H28N2O6
hit structure
1:451319 C27H32N2O6
hit structure
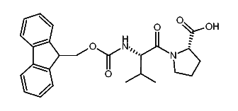
1:451320 C25H30N2O6
hit structure
1:451321 C31H29N3O5
hit structure
1:451322 C22H24N2O5
hit structure
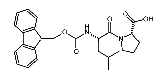
1:451323 C25H28N2O5
hit structure
1:451324 C35H40N2O9
hit structure
1:451325 C35H28N2O7
hit structure
1:451326 C36H43N5O8S
hit structure
1:451327 C28H35N3O7
hit structure
1:451328 C22H24N2O5S
hit structure
1:451329 C27H29N3O7
hit structure
1:451330 C31H34N2O7
hit structure
1:451331 C26H35N5O5
hit structure
1:451332 C32H36N2O7
hit structure
1:451333 C29H30N2O7
hit structure

1
  <<    <    >    >>  

entries in data collection: 453650