Home Browse Text SearchFunctional Group SearchStructure SearchPreferences Administration

selected data collection: 1

IRIS SDF: browse content


1
  <<    <    >    >>  

1:449974 C45H56N7O9P
hit structure
1:449975 C40H49N4O9P
hit structure
1:449976 C40H49N4O8P
hit structure
1:449977 C50H58N7O9P
hit structure
1:449978 C47H60N7O10P
hit structure
1:449979 C50H60N5O10P
hit structure
1:449980 C42H52N5O9P
hit structure
1:449981 C43H55N4O10P
hit structure
1:449982 C10H14N2O6
hit structure
1:449983 C24H46O4
hit structure
1:449984 C33H61NO7
hit structure
1:449985 C49H86N4O15
hit structure
1:449986 C45H83N3O13
hit structure
1:449987 C44H46N2O8
hit structure
1:449988 C23H25NO4
hit structure
1:449989 C22H23NO4
hit structure
1:449990 C23H25NO4
hit structure
1:449991 C22H23NO4
hit structure
1:449992 C34H36BNO6
hit structure
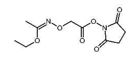
1:449993 C20H19NO4
hit structure
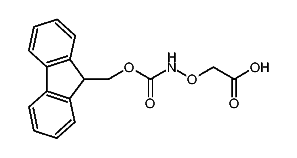
1:449994 C19H17NO4
hit structure
1:449995 C20H19NO4
hit structure
1:449996 C17H15NO5
hit structure
1:449997 C22H23NO4
hit structure
1:449998 C22H23NO4
hit structure

1
  <<    <    >    >>  

entries in data collection: 458682