Home Browse Text SearchFunctional Group SearchStructure SearchPreferences Administration

selected data collection: 1

IRIS SDF: browse content


1
  <<    <    >    >>  

1:446657 C6H9NO2S
hit structure
1:446658 C6H9NO3
hit structure
1:446659 C12H22N2O4
hit structure
1:446660 C16H26N2O4
hit structure
1:446661 C16H22N2O4
hit structure
1:446662 C18H34N2O4
hit structure
1:446663 C18H30N2O4
hit structure
1:446664 C8H15NO2
hit structure
1:446665 C7H13NO2
hit structure
1:446666 C12H18N2O4
hit structure
1:446667 C14H26N2O4
hit structure
1:446668 C8H15NO2
hit structure
1:446669 C14H26N2O4
hit structure
1:446670 C16H30N2O4
hit structure
1:446671 C14H22N2O4
hit structure
1:446672 C14H22N2O4
hit structure
1:446673 C18H30N2O4
hit structure
1:446674 C7H13NO2
hit structure
1:446675 C6H13NO2
hit structure
1:446676 C7H15NO2
hit structure
1:446677 C8H17NO2
hit structure
1:446678 C9H19NO2
hit structure
1:446679 C7H15NO2
hit structure
1:446680 C6H13NO2
hit structure
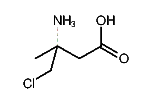
1:446681 C5H10ClNO2
hit structure

1
  <<    <    >    >>  

entries in data collection: 458682