Home Browse Text SearchFunctional Group SearchStructure SearchPreferences Administration

selected data collection: 1

IRIS SDF: browse content


1
  <<    <    >    >>  

1:444558 C17H25NO7
hit structure
1:444559 C16H23NO4
hit structure
1:444560 C16H23NO5
hit structure
1:444561 C18H28N2O4
hit structure
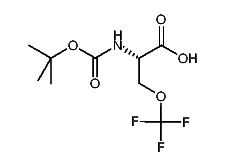
1:444562 C15H18F3NO5
hit structure
1:444563 C18H27NO4
hit structure
1:444564 C17H25NO4
hit structure
1:444565 C14H19NO5
hit structure
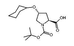
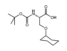
1:444566 C19H37NO4
hit structure
1:444567 C14H19NO5
hit structure
1:444568 C15H20N2O5
hit structure
1:444569 C16H22N2O5
hit structure
1:444570 C17H21N3O4
hit structure
1:444571 C22H24N2O4
hit structure
1:444572 C16H28N2O5
hit structure
1:444573 C15H26N2O5
hit structure
1:444574 C14H25NO5
hit structure
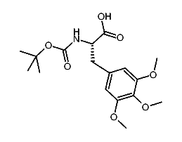
1:444575 C20H29NO5
hit structure
1:444576 C16H27NO5
hit structure
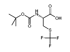
1:444577 C9H14F3NO4S
hit structure
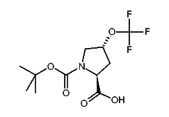
1:444578 C9H14F3NO5
hit structure
1:444579 C10H17F2NO4
hit structure
1:444580 C11H16F3NO5
hit structure
1:444581 C15H18F3NO5
hit structure
1:444582 C17H19F3N2O4
hit structure

1
  <<    <    >    >>  

entries in data collection: 453650