Home Browse Text SearchFunctional Group SearchStructure SearchPreferences Administration

selected data collection: 1

IRIS SDF: browse content


1
  <<    <    >    >>  

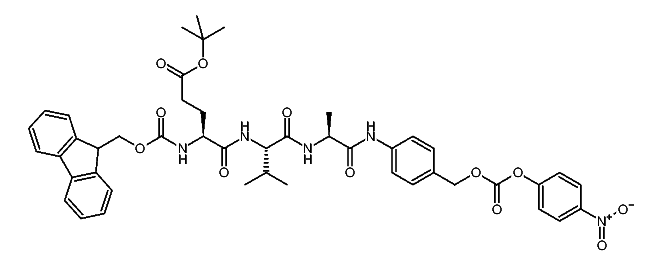
1:443758 C49H57N7O13
hit structure
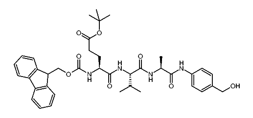
1:443759 C39H48N4O8
hit structure
1:443760 C46H51N5O12
hit structure
1:443761 C12H14N2O
hit structure
1:443762 C9H18N2O2
hit structure
1:443763 C15H14N2O2
hit structure
1:443764 C11H26N2O4
hit structure
1:443765 C14H24N2O4
hit structure
1:443766 C11H26N2O4
hit structure
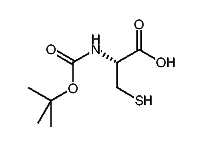
1:443767 C8H15NO4S
hit structure
1:443768 C27H29NO4S
hit structure
1:443769 C13H22N2O6
hit structure
1:443770 C24H28N2O6
hit structure
1:443771 C9H18N2O4
hit structure
1:443772 C23H26N2O6
hit structure
1:443773 C23H26N2O6
hit structure
1:443774 C10H18N2O5
hit structure
1:443775 C13H21NO6
hit structure
1:443776 C17H23NO6
hit structure
1:443777 C15H32N2O5
hit structure
1:443778 C13H26N2O2
hit structure
1:443779 C9H20N2O2
hit structure
1:443780 C10H22N2O2
hit structure
1:443781 C13H26N2O2
hit structure
1:443782 C8H18N2O2
hit structure

1
  <<    <    >    >>  

entries in data collection: 463714