Home Browse Text SearchFunctional Group SearchStructure SearchPreferences Administration

selected data collection: 1

IRIS SDF: browse content


1
  <<    <    >    >>  

1:437265 C8H17N3O4
hit structure
1:437266 C16H20N2O10
hit structure
1:437267 C24H29NO7
hit structure
1:437268 C26H29NO4
hit structure
1:437269 C12H15NO5
hit structure
1:437270 C10H13NO6
hit structure
1:437271 C6H13N3O3
hit structure
1:437272 C14H27NO7
hit structure
1:437273 C18H32N6O5S
hit structure
1:437274 C11H22N4O4
hit structure
1:437275 C25H30N2O7
hit structure
1:437276 C6H14N4O2
hit structure
1:437277 C22H43NO5
hit structure
1:437278 C13H12F4N4O5
hit structure
1:437279 C23H28N2O11
hit structure
1:437280 C18H29NO11
hit structure
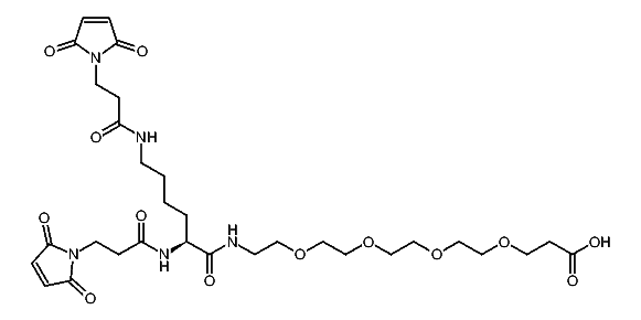
1:437281 C31H45N5O13
hit structure
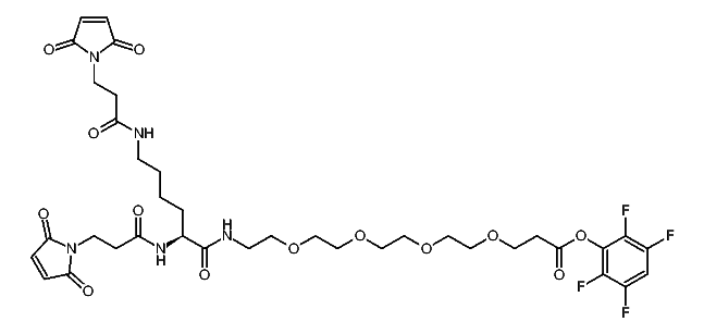
1:437282 C37H45F4N5O13
hit structure
1:437283 C18H34N4O6S
hit structure
1:437284 C14H26N4O6
hit structure
1:437285 C25H30N2O8
hit structure
1:437286 C25H44N4O8S
hit structure
1:437287 C10H18N4O5
hit structure
1:437288 C10H21N3O5
hit structure
1:437289 C10H22N4O4
hit structure

1
  <<    <    >    >>  

entries in data collection: 438554