Home Browse Text SearchFunctional Group SearchStructure SearchPreferences Administration

selected data collection: 1

IRIS SDF: browse content


1
  <<    <    >    >>  

1:437038 C48H63N13O10
hit structure
1:437039 C23H34N4O4S3
hit structure
1:437040 C14H20N4O4
hit structure
1:437041 C16H15N5
hit structure
1:437042 C27H38D6O2
hit structure
1:437043 C27H40D6O2
hit structure
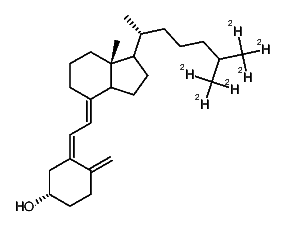
1:437044 C27H38D6O
hit structure
1:437045 C27H38D6O2
hit structure
1:437046 C27H38D6O3
hit structure
1:437047 C27H41D3O
hit structure
1:437048 C27H38D6O
hit structure
1:437049 C27H40D6O
hit structure
1:437050 C28H38D6O2
hit structure
1:437051 C28H38D6O2
hit structure
1:437052 C28H38D6O3
hit structure
1:437053 C28H41D3O
hit structure
1:437054 C28H38D6O
hit structure
1:437055 C29H47D3O2
hit structure
1:437056 C29H44D6O2
hit structure
1:437057 C31H46D6O3
hit structure
1:437058 C29H41D9O2
hit structure
1:437059 C31H43D9O3
hit structure
1:437060 C16H25ClN2O4
hit structure
1:437061 C15H27N5O5
hit structure
1:437062 C40H78N12O12S
hit structure

1
  <<    <    >    >>  

entries in data collection: 438554