Home Browse Text SearchFunctional Group SearchStructure SearchPreferences Administration

selected data collection: 1

IRIS SDF: browse content


1
  <<    <    >    >>  

1:436964 C8H14N2O5
hit structure
1:436965 C9H18N2O4
hit structure
1:436966 C9H18N2O5
hit structure
1:436967 C8H16N4O4
hit structure
1:436968 C9H18N4O4
hit structure
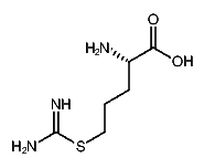
1:436969 C6H13N3O2S
hit structure
1:436970 C17H22N6O3
hit structure
1:436971 C24H20N2O2
hit structure
1:436972 C26H24N2O2
hit structure
1:436973 C4H10N2O2
hit structure
1:436974 C11H24N2O4Si
hit structure
1:436975 C6H12N4O2
hit structure
1:436976 C11H14N4O3
hit structure
1:436977 C8H11N
hit structure
1:436978 C40H38N2O6
hit structure
1:436979 C8H11N
hit structure
1:436980 C40H38N2O6
hit structure
1:436981 C15H18N4O4
hit structure
1:436982 C12H26O5
hit structure
1:436983 C11H15NO4
hit structure
1:436984 C21H19NO2
hit structure
1:436985 C10H14O3
hit structure
1:436986 C11H15NO3
hit structure
1:436987 C11H14O4
hit structure
1:436988 C16H22O4
hit structure

1
  <<    <    >    >>  

entries in data collection: 438554