Home Browse Text SearchFunctional Group SearchStructure SearchPreferences Administration

selected data collection: 1

IRIS SDF: browse content


1
  <<    <    >    >>  

1:436639 C6H13NO2
hit structure
1:436640 C7H15NO2
hit structure
1:436641 C8H17NO2
hit structure
1:436642 C9H19NO2
hit structure
1:436643 C7H15NO2
hit structure
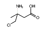
1:436644 C5H10ClNO2
hit structure
1:436645 C6H11NO2
hit structure
1:436646 C9H17NO2
hit structure
1:436647 C10H19NO2
hit structure
1:436648 C7H15NO2
hit structure
1:436649 C7H13NO2
hit structure
1:436650 C7H13NO3
hit structure
1:436651 C5H9NO2
hit structure
1:436652 C6H11NO2
hit structure
1:436653 C9H11NO2
hit structure
1:436654 C9H11NO2
hit structure
1:436655 C14H21N7O4
hit structure
1:436656 C26H28N4O2
hit structure
1:436657 C14H14N2O5
hit structure
1:436658 C10H16N4O4
hit structure
1:436659 C14H18N4O4
hit structure
1:436660 C9H14N4O4
hit structure
1:436661 C7H9NO3
hit structure
1:436662 C9H18N2O4
hit structure
1:436663 C9H14D4N2O4
hit structure

1
  <<    <    >    >>  

entries in data collection: 443586