Home Browse Text SearchFunctional Group SearchStructure SearchPreferences Administration

selected data collection: 1

IRIS SDF: browse content


1
  <<    <    >    >>  

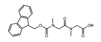
1:435731 C28H36N2O5
hit structure
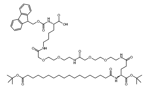
1:435732 C64H101N5O16
hit structure
1:435733 C24H21N3O8S
hit structure
1:435734 C26H34N4O4
hit structure
1:435735 C20H22N4O4
hit structure
1:435736 C20H22N4O4
hit structure
1:435737 C22H20N2O4
hit structure
1:435738 C24H21NO8S
hit structure
1:435739 C21H22N2O5
hit structure
1:435740 C24H27N3O6
hit structure
1:435741 C28H24N2O6
hit structure
1:435742 C28H26N2O6
hit structure
1:435743 C25H22N4O4
hit structure
1:435744 C46H69N3O8
hit structure
1:435745 C46H69N3O8
hit structure
1:435746 C27H34N2O5
hit structure
1:435747 C27H27NO5
hit structure
1:435748 C27H27NO5
hit structure
1:435749 C26H23NO6
hit structure
1:435750 C36H45NO5
hit structure
1:435751 C34H33NO7S2
hit structure
1:435752 C31H42N2O5
hit structure
1:435753 C29H37N3O9
hit structure
1:435754 C32H44N2O5
hit structure
1:435755 C32H29NO6S
hit structure

1
  <<    <    >    >>  

entries in data collection: 438554