Home Browse Text SearchFunctional Group SearchStructure SearchPreferences Administration

selected data collection: 1

IRIS SDF: browse content


1
  <<    <    >    >>  

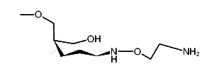
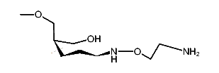
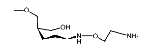
1:434856 C11H28N2O3
hit structure
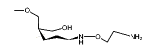
1:434857 C11H28N2O3
hit structure
1:434858 C11H28N2O3
hit structure
1:434859 C11H28N2O3
hit structure
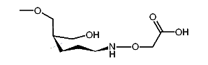
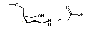
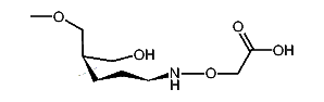
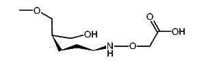
1:434860 C11H25NO5
hit structure
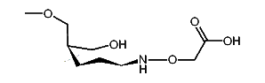
1:434861 C11H25NO5
hit structure
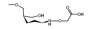
1:434862 C11H25NO5
hit structure
1:434863 C11H25NO5
hit structure
1:434864 C11H25NO5
hit structure
1:434865 C11H25NO5
hit structure
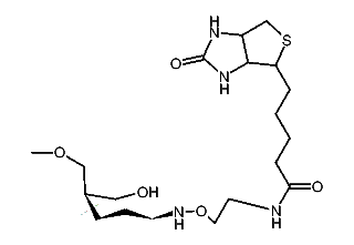
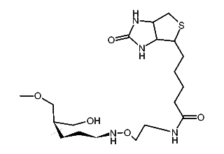
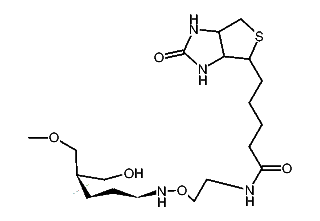
1:434866 C21H42N4O5S
hit structure
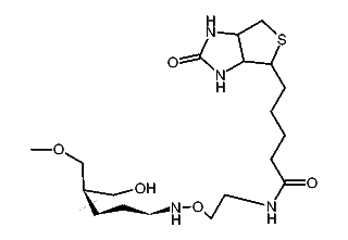
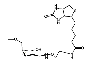
1:434867 C21H42N4O5S
hit structure
1:434868 C21H42N4O5S
hit structure
1:434869 C21H42N4O5S
hit structure
1:434870 C21H42N4O5S
hit structure
1:434871 C12H29NO3S
hit structure
1:434872 C25H23N3O2
hit structure
1:434873 C47H51FN7O7P
hit structure
1:434874 C41H49FN5O8P
hit structure
1:434875 C44H53FN7O8P
hit structure
1:434876 C48H54N7O8P
hit structure
1:434877 C47H54N5O9P
hit structure
1:434878 C45H56N7O9P
hit structure
1:434879 C40H49N4O9P
hit structure
1:434880 C40H49N4O8P
hit structure

1
  <<    <    >    >>  

entries in data collection: 453650