Home Browse Text SearchFunctional Group SearchStructure SearchPreferences Administration

selected data collection: 1

IRIS SDF: browse content


1
  <<    <    >    >>  

1:434676 C9H20N2O2
hit structure
1:434677 C9H20N2O2
hit structure
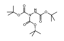
1:434678 C18H26N2O6
hit structure
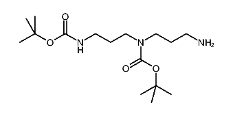
1:434679 C11H22N2O2
hit structure
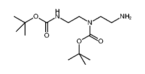
1:434680 C15H28N2O6
hit structure
1:434681 C9H20N2O2
hit structure
1:434682 C8H18N2O2
hit structure
1:434683 C10H22N2O2
hit structure
1:434684 C15H32N2O4
hit structure
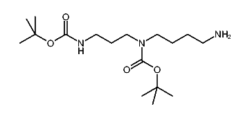
1:434685 C11H24N2O4
hit structure
1:434686 C7H16N2O2
hit structure
1:434687 C14H22N2O2
hit structure
1:434688 C23H26BrN2O2P
hit structure
1:434689 C9H18N2O2
hit structure
1:434690 C9H18N2O2
hit structure
1:434691 C11H22N2O2
hit structure
1:434692 C13H26N2O2
hit structure
1:434693 C14H29N3O4
hit structure
1:434694 C14H29N3O4
hit structure
1:434695 C16H33N3O4
hit structure
1:434696 C16H33N3O4
hit structure
1:434697 C17H35N3O4
hit structure
1:434698 C17H35N3O4
hit structure
1:434699 C10H22N4O3
hit structure
1:434700 C24H50N4O4
hit structure

1
  <<    <    >    >>  

entries in data collection: 453650