Home Browse Text SearchFunctional Group SearchStructure SearchPreferences Administration

selected data collection: 1

IRIS SDF: browse content


1
  <<    <    >    >>  

1:434451 C12H21NO4
hit structure
1:434452 C14H25NO4
hit structure
1:434453 C14H19NO4
hit structure
1:434454 C15H21NO4
hit structure
1:434455 C10H17NO5
hit structure
1:434456 C12H16N2O5
hit structure
1:434457 C12H23NO4
hit structure
1:434458 C12H19N3O4
hit structure
1:434459 C12H19N3O4
hit structure
1:434460 C21H29N3O5
hit structure
1:434461 C23H44N2O5
hit structure
1:434462 C10H17NO4
hit structure
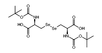
1:434463 C16H28N2O8Se2
hit structure
1:434464 C25H28N2O6
hit structure
1:434465 C13H25NO4
hit structure
1:434466 C11H21NO5
hit structure
1:434467 C12H17NO5
hit structure
1:434468 C12H17NO5
hit structure
1:434469 C13H23NO4
hit structure
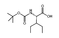
1:434470 C16H23NO5Se
hit structure
1:434471 C16H20F3NO4
hit structure
1:434472 C13H25NO4
hit structure
1:434473 C18H35NO4
hit structure
1:434474 C21H41NO4
hit structure
1:434475 C23H45NO4
hit structure

1
  <<    <    >    >>  

entries in data collection: 448618