Home Browse Text SearchFunctional Group SearchStructure SearchPreferences Administration

selected data collection: 1

IRIS SDF: browse content


1
  <<    <    >    >>  

1:434226 C20H32N4O6S
hit structure
1:434227 C12H16N2O6
hit structure
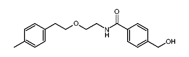
1:434228 C13H18N2O6
hit structure
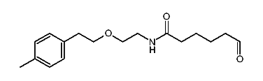
1:434229 C13H24N2O8
hit structure
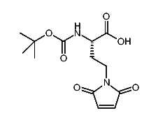
1:434230 C43H44N2O7
hit structure
1:434231 C16H22O4
hit structure
1:434232 C11H16OS
hit structure
1:434233 C31H31NO3
hit structure
1:434234 C18H22O3
hit structure
1:434235 C11H15BrO
hit structure
1:434236 C17H25NO3
hit structure
1:434237 C18H30O5
hit structure
1:434238 C19H22O4
hit structure
1:434239 C18H20O3
hit structure
1:434240 C19H23NO3
hit structure
1:434241 C43H44N2O7
hit structure
1:434242 C16H22O4
hit structure
1:434243 C11H16OS
hit structure
1:434244 C31H31NO3
hit structure
1:434245 C18H22O3
hit structure
1:434246 C11H16O2
hit structure
1:434247 C11H16O2
hit structure
1:434248 C54H53N3O9
hit structure
1:434249 C37H35NO7
hit structure
1:434250 C38H37NO7
hit structure

1
  <<    <    >    >>  

entries in data collection: 448618