Home Browse Text SearchFunctional Group SearchStructure SearchPreferences Administration

selected data collection: 1

IRIS SDF: browse content


1
  <<    <    >    >>  

1:433926 C12H20N2O6
hit structure
1:433927 C10H17BrN2O5
hit structure
1:433928 C14H18N4O8
hit structure
1:433929 C16H22N2O6
hit structure
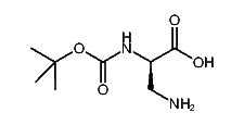
1:433930 C8H16N2O4
hit structure
1:433931 C22H24N2O6
hit structure
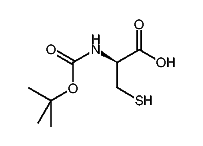
1:433932 C8H15NO4S
hit structure
1:433933 C19H30N2O6
hit structure
1:433934 C12H20N2O6
hit structure
1:433935 C12H20N2O6
hit structure
1:433936 C18H28N2O6
hit structure
1:433937 C14H18N4O8
hit structure
1:433938 C16H22N2O6
hit structure
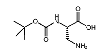
1:433939 C8H16N2O4
hit structure
1:433940 C23H26N2O6
hit structure
1:433941 C25H30N2O6
hit structure
1:433942 C9H15NO4S
hit structure
1:433943 C17H20N2O4
hit structure
1:433944 C19H30N2O6
hit structure
1:433945 C15H20N4O8
hit structure
1:433946 C18H28N2O6
hit structure
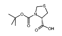
1:433947 C11H19NO4
hit structure
1:433948 C20H32N2O6
hit structure
1:433949 C10H18N2O3
hit structure
1:433950 C15H21NO5
hit structure

1
  <<    <    >    >>  

entries in data collection: 443586