Home Browse Text SearchFunctional Group SearchStructure SearchPreferences Administration

selected data collection: 1

IRIS SDF: browse content


1
  <<    <    >    >>  

1:432860 C10H12O5S
hit structure
1:432861 C26H27F4N4NaO10S
hit structure
1:432862 C7H14N2
hit structure
1:432863 C15H12N5NaO7S
hit structure
1:432864 C20H18N2O3S2
hit structure
1:432865 C10H13N5O3
hit structure
1:432866 C18H18N6O2
hit structure
1:432867 C27H36N6O7
hit structure
1:432868 C10H10N2O3
hit structure
1:432869 C19H23N9O2
hit structure
1:432870 C24H33N9O6
hit structure
1:432871 C12H21N5O4
hit structure
1:432872 C20H19N7O4
hit structure
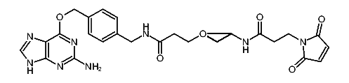
1:432873 C31H40N8O9
hit structure
1:432874 C21H21N7O2S2
hit structure
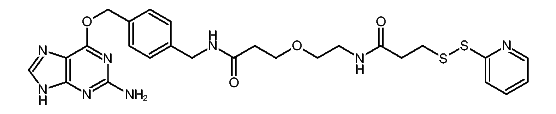
1:432875 C26H30N8O4S2
hit structure
1:432876 C34H31N7O3
hit structure
1:432877 C24H22N2O2
hit structure
1:432878 C23H21F9N4O4S
hit structure
1:432879 C21H16F9NO5S
hit structure
1:432880 C35H41F9N4O6S2
hit structure
1:432881 C16H30N4O4S
hit structure
1:432882 C7H7N3O
hit structure
1:432883 C8H4N2O4S
hit structure
1:432884 C12H16N2O5S2
hit structure

1
  <<    <    >    >>  

entries in data collection: 433522