Home Browse Text SearchFunctional Group SearchStructure SearchPreferences Administration

selected data collection: 1

IRIS SDF: browse content


1
  <<    <    >    >>  

1:432810 C53H60N4O4S
hit structure
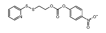
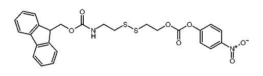
1:432811 C19H22N2O2S2
hit structure
1:432812 C14H26N4O2S3
hit structure
1:432813 C9H12N2O4
hit structure
1:432814 C7H8N2O2
hit structure
1:432815 C17H21N3O8
hit structure
1:432816 C10H12N2O6
hit structure
1:432817 C15H21NO4
hit structure
1:432818 C28H31N3O8
hit structure
1:432819 C12H18N4O4
hit structure
1:432820 C13H19N3O2S
hit structure
1:432821 C14H12N2O5S2
hit structure
1:432822 C9H19NO3S2
hit structure
1:432823 C16H22N2O7S2
hit structure
1:432824 C19H21NO3S2
hit structure
1:432825 C26H24N2O7S2
hit structure
1:432826 C19H14N2O5S2
hit structure
1:432827 C14H21NO3S2
hit structure
1:432828 C21H24N2O7S2
hit structure
1:432829 C24H23NO3S2
hit structure
1:432830 C9H11BrN2O5
hit structure
1:432831 C8H14N2O2S
hit structure
1:432832 C24H20N2O7S
hit structure
1:432833 C16H32ClN3O5
hit structure
1:432834 C9H9N3O2
hit structure

1
  <<    <    >    >>  

entries in data collection: 433522