Home Browse Text SearchFunctional Group SearchStructure SearchPreferences Administration

selected data collection: 1

IRIS SDF: browse content


1
  <<    <    >    >>  

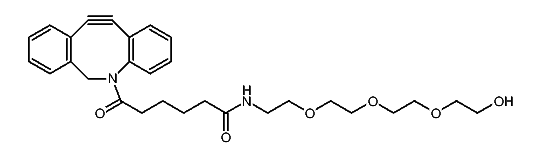
1:432733 C29H36N2O6
hit structure
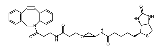
1:432734 C39H51N5O8S
hit structure
1:432735 C26H30N2O4
hit structure
1:432736 C26H30N2O4
hit structure
1:432737 C26H30N2O4
hit structure
1:432738 C26H30N2O4
hit structure
1:432739 C9H6N4O2
hit structure
1:432740 C15H10N2O6
hit structure
1:432741 C16H12N2O6
hit structure
1:432742 C15H10N2O6
hit structure
1:432743 C16H12N2O6
hit structure
1:432744 C12H12N2O6
hit structure
1:432745 C22H29N3O7
hit structure
1:432746 C14H16N2O6
hit structure
1:432747 C13H14N2O6
hit structure
1:432748 C18H16N2O6
hit structure
1:432749 C17H21N3O7
hit structure
1:432750 C21H26O4S3
hit structure
1:432751 C20H21N3O6S2
hit structure
1:432752 C18H22N2O5S
hit structure
1:432753 C21H24N2O4S2
hit structure
1:432754 C14H18N2O2S
hit structure
1:432755 C21H24N2O5S2
hit structure
1:432756 C30H36O2S
hit structure
1:432757 C16H18N2Na2O14S2
hit structure

1
  <<    <    >    >>  

entries in data collection: 433522