Home Browse Text SearchFunctional Group SearchStructure SearchPreferences Administration

selected data collection: 1

IRIS SDF: browse content


1
  <<    <    >    >>  

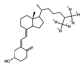
1:432014 C27H38D6O3
hit structure
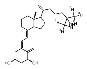
1:432015 C27H41D3O
hit structure
1:432016 C27H38D6O
hit structure
1:432017 C27H40D6O
hit structure
1:432018 C28H38D6O2
hit structure
1:432019 C28H38D6O2
hit structure
1:432020 C28H38D6O3
hit structure
1:432021 C28H41D3O
hit structure
1:432022 C28H38D6O
hit structure
1:432023 C29H47D3O2
hit structure
1:432024 C29H44D6O2
hit structure
1:432025 C31H46D6O3
hit structure
1:432026 C29H41D9O2
hit structure
1:432027 C31H43D9O3
hit structure
1:432028 C16H25ClN2O4
hit structure
1:432029 C15H27N5O5
hit structure
1:432030 C40H78N12O12S
hit structure
1:432031 C34H63N5O9
hit structure
1:432032 C34H55N5O9S3
hit structure
1:432033 C21H25N5O5
hit structure
1:432034 C13H20N2O2S2
hit structure
1:432035 C18H26N4O2S
hit structure
1:432036 C26H35N3O4S
hit structure
1:432037 C18H26N2O4S
hit structure
1:432038 C30H47N5O5S
hit structure

1
  <<    <    >    >>  

entries in data collection: 433522