Home Browse Text SearchFunctional Group SearchStructure SearchPreferences Administration

selected data collection: 1

IRIS SDF: browse content


1
  <<    <    >    >>  

1:431596 C18H30N2O4
hit structure
1:431597 C8H15NO2
hit structure
1:431598 C7H13NO2
hit structure
1:431599 C12H18N2O4
hit structure
1:431600 C14H26N2O4
hit structure
1:431601 C16H30N2O4
hit structure
1:431602 C7H13NO2
hit structure
1:431603 C16H30N2O4
hit structure
1:431604 C14H22N2O4
hit structure
1:431605 C14H22N2O4
hit structure
1:431606 C18H30N2O4
hit structure
1:431607 C6H13NO2
hit structure
1:431608 C7H15NO2
hit structure
1:431609 C8H17NO2
hit structure
1:431610 C9H19NO2
hit structure
1:431611 C7H15NO2
hit structure
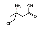
1:431612 C5H10ClNO2
hit structure
1:431613 C6H11NO2
hit structure
1:431614 C9H17NO2
hit structure
1:431615 C10H19NO2
hit structure
1:431616 C7H15NO2
hit structure
1:431617 C7H13NO2
hit structure
1:431618 C7H13NO3
hit structure
1:431619 C5H9NO2
hit structure
1:431620 C6H11NO2
hit structure

1
  <<    <    >    >>  

entries in data collection: 438554