Home Browse Text SearchFunctional Group SearchStructure SearchPreferences Administration

selected data collection: 1

IRIS SDF: browse content


1
  <<    <    >    >>  

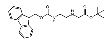
1:429223 C30H34N2O6
hit structure
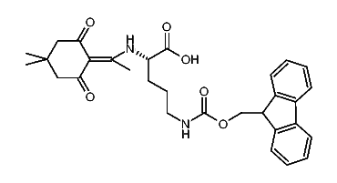
1:429224 C29H32N2O6
hit structure
1:429225 C11H11NO2
hit structure
1:429226 C23H46N2O3
hit structure
1:429227 C12H14N2O6Se
hit structure
1:429228 C15H24N2O4
hit structure
1:429229 C13H21NO3Si
hit structure
1:429230 C12H16N2O6Se
hit structure
1:429231 C12H22N2O4
hit structure
1:429232 C23H28N2O4
hit structure
1:429233 C12H14N2O6S
hit structure
1:429234 C20H22N2O4
hit structure
1:429235 C4H8N4O2
hit structure
1:429236 C5H9N3O2
hit structure
1:429237 C6H9N3O2S
hit structure
1:429238 C8H13F2N5O3
hit structure
1:429239 C12H24N2O3
hit structure
1:429240 C25H32N2O4
hit structure
1:429241 C11H14N4O3
hit structure
1:429242 C14H19N5O4
hit structure
1:429243 C12H16N2O6S
hit structure
1:429244 C21H35NO3
hit structure
1:429245 C21H21N5O5
hit structure
1:429246 C8H15N5O3
hit structure
1:429247 C6H12N2O4Se2
hit structure

1
  <<    <    >    >>  

entries in data collection: 468746