Home Browse Text SearchFunctional Group SearchStructure SearchPreferences Administration

selected data collection: 1

IRIS SDF: browse content


1
  <<    <    >    >>  

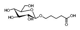
1:426232 C17H29NO9
hit structure
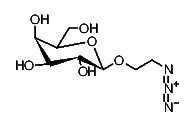
1:426233 C18H33N3O13
hit structure
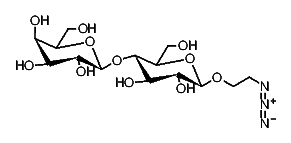
1:426234 C21H36O14
hit structure
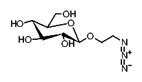
1:426235 C12H23N3O8
hit structure
1:426236 C15H26O9
hit structure
1:426237 C8H15N3O6
hit structure
1:426238 C8H15N3O6
hit structure
1:426239 C8H15N3O6
hit structure
1:426240 C10H18N4O6
hit structure
1:426241 C14H25N3O11
hit structure
1:426242 C15H28O11
hit structure
1:426243 C17H31NO11
hit structure
1:426244 C17H31NO11
hit structure
1:426245 C15H28O11
hit structure
1:426246 C11H20O8
hit structure
1:426247 C11H20O8
hit structure
1:426248 C13H23NO8
hit structure
1:426249 C13H23NO8
hit structure
1:426250 C11H20O8
hit structure
1:426251 C31H36N6O7
hit structure
1:426252 C15H15Cl2N5O6
hit structure
1:426253 C28H31ClN6O7
hit structure
1:426254 C28H31ClN6O7
hit structure
1:426255 C22H24N2O9S
hit structure
1:426256 C24H28FN3O10
hit structure

1
  <<    <    >    >>  

entries in data collection: 428490