Home Browse Text SearchFunctional Group SearchStructure SearchPreferences Administration

selected data collection: 1

IRIS SDF: browse content


1
  <<    <    >    >>  

1:423930 C13H17NO4
hit structure
1:423931 C13H23NO4
hit structure
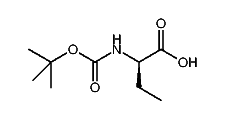
1:423932 C11H21NO4
hit structure
1:423933 C13H25NO4
hit structure
1:423934 C18H21NO4
hit structure
1:423935 C9H17NO4
hit structure
1:423936 C16H21NO4
hit structure
1:423937 C18H28N4O6S
hit structure
1:423938 C21H23NO5
hit structure
1:423939 C10H18N2O5
hit structure
1:423940 C17H23NO6
hit structure
1:423941 C19H28N2O6
hit structure
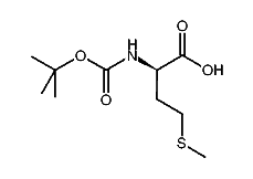
1:423942 C10H19NO4S
hit structure
1:423943 C14H18FNO4
hit structure
1:423944 C14H17Cl2NO4
hit structure
1:423945 C14H17F2NO4
hit structure
1:423946 C14H18FNO4
hit structure
1:423947 C14H18INO4
hit structure
1:423948 C14H18BrNO4
hit structure
1:423949 C14H18FNO4
hit structure
1:423950 C15H21NO4
hit structure
1:423951 C14H20N2O4
hit structure
1:423952 C29H30N2O6
hit structure
1:423953 C14H18N2O6
hit structure
1:423954 C14H14F5NO4
hit structure

1
  <<    <    >    >>  

entries in data collection: 428490