Home Browse Text SearchFunctional Group SearchStructure SearchPreferences Administration

selected data collection: 1

IRIS SDF: browse content


1
  <<    <    >    >>  

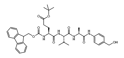
1:423630 C49H57N7O13
hit structure
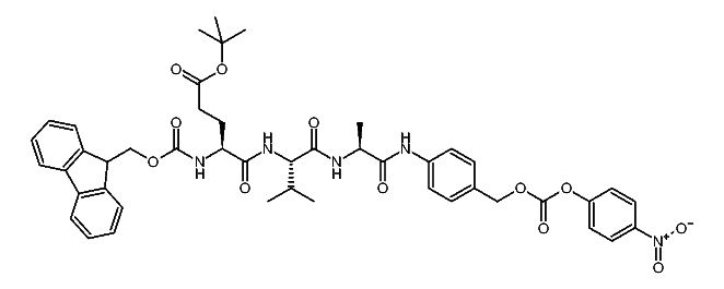
1:423631 C39H48N4O8
hit structure
1:423632 C46H51N5O12
hit structure
1:423633 C12H14N2O
hit structure
1:423634 C9H18N2O2
hit structure
1:423635 C15H14N2O2
hit structure
1:423636 C11H26N2O4
hit structure
1:423637 C14H24N2O4
hit structure
1:423638 C11H26N2O4
hit structure
1:423639 C8H15NO4S
hit structure
1:423640 C27H29NO4S
hit structure
1:423641 C13H22N2O6
hit structure
1:423642 C24H28N2O6
hit structure
1:423643 C9H18N2O4
hit structure
1:423644 C23H26N2O6
hit structure
1:423645 C23H26N2O6
hit structure
1:423646 C10H18N2O5
hit structure
1:423647 C13H21NO6
hit structure
1:423648 C17H23NO6
hit structure
1:423649 C15H32N2O5
hit structure
1:423650 C13H26N2O2
hit structure
1:423651 C9H20N2O2
hit structure
1:423652 C10H22N2O2
hit structure
1:423653 C13H26N2O2
hit structure
1:423654 C8H18N2O2
hit structure

1
  <<    <    >    >>  

entries in data collection: 433522