Home Browse Text SearchFunctional Group SearchStructure SearchPreferences Administration

selected data collection: 1

IRIS SDF: browse content


1
  <<    <    >    >>  

1:417502 C46H60N4O13
hit structure
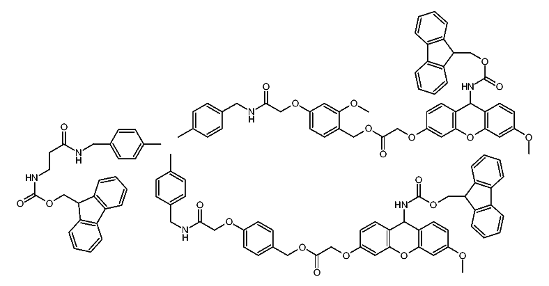
1:417503 C125H120N6O22
hit structure
1:417504 C110H114N6O25
hit structure
1:417505 C96H97N7O14
hit structure
1:417506 C34H33NO5
hit structure
1:417507 C33H31NO5
hit structure
1:417508 C36H37NO5
hit structure
1:417509 C33H31NO5
hit structure
1:417510 C34H33NO5
hit structure
1:417511 C41H46N2O7
hit structure
1:417512 C40H42N2O7
hit structure
1:417513 C46H52N4O7S
hit structure
1:417514 C51H48N2O7
hit structure
1:417515 C35H31NO5
hit structure
1:417516 C53H46N2O6
hit structure
1:417517 C49H54N4O8S
hit structure
1:417518 C38H39NO7
hit structure
1:417519 C52H45NO5S
hit structure
1:417520 C39H41NO7
hit structure
1:417521 C16H14N2O6
hit structure
1:417522 C14H19N3O5S
hit structure
1:417523 C9H9BrO2
hit structure
1:417524 C13H22N2
hit structure
1:417525 C7H14N2
hit structure
1:417526 C21H19ClO2
hit structure

1
  <<    <    >    >>  

entries in data collection: 432005