Home Browse Text SearchFunctional Group SearchStructure SearchPreferences Administration

selected data collection: 1

IRIS SDF: browse content


1
  <<    <    >    >>  

1:416502 C7H13NO2
hit structure
1:416503 C12H18N2O4
hit structure
1:416504 C14H26N2O4
hit structure
1:416505 C16H30N2O4
hit structure
1:416506 C7H13NO2
hit structure
1:416507 C16H30N2O4
hit structure
1:416508 C14H22N2O4
hit structure
1:416509 C14H22N2O4
hit structure
1:416510 C18H30N2O4
hit structure
1:416511 C6H13NO2
hit structure
1:416512 C7H15NO2
hit structure
1:416513 C8H17NO2
hit structure
1:416514 C9H19NO2
hit structure
1:416515 C7H15NO2
hit structure
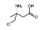
1:416516 C5H10ClNO2
hit structure
1:416517 C6H11NO2
hit structure
1:416518 C9H17NO2
hit structure
1:416519 C10H19NO2
hit structure
1:416520 C7H15NO2
hit structure
1:416521 C7H13NO2
hit structure
1:416522 C7H13NO3
hit structure
1:416523 C5H9NO2
hit structure
1:416524 C6H11NO2
hit structure
1:416525 C9H11NO2
hit structure
1:416526 C9H11NO2
hit structure

1
  <<    <    >    >>  

entries in data collection: 448618