Home Browse Text SearchFunctional Group SearchStructure SearchPreferences Administration

selected data collection: 1

IRIS SDF: browse content


1
  <<    <    >    >>  

1:413550 C20H30ClN3O4
hit structure
1:413551 C30H32ClN3O4
hit structure
1:413552 C21H31ClN6O3
hit structure
1:413553 C20H26ClN3O3
hit structure
1:413554 C25H33ClN4O5
hit structure
1:413555 C20H29ClN6O4
hit structure
1:413556 C23H32ClN3O5
hit structure
1:413557 C27H30N4O6
hit structure
1:413558 C34H33N5O10
hit structure
1:413559 C30H36N6O7
hit structure
1:413560 C37H39N7O11
hit structure
1:413561 C32H39N5O8
hit structure
1:413562 C39H42N6O12
hit structure
1:413563 C13H14O5
hit structure
1:413564 C20H17NO9
hit structure
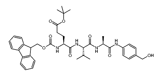
1:413565 C42H54N6O9
hit structure
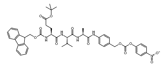
1:413566 C49H57N7O13
hit structure
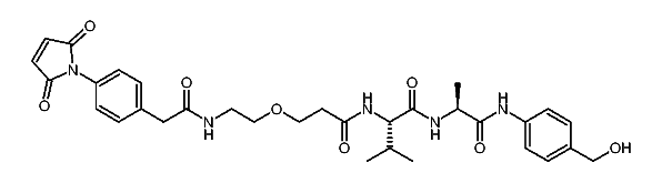
1:413567 C39H48N4O8
hit structure
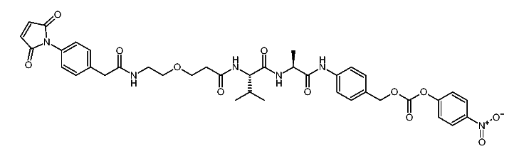
1:413568 C46H51N5O12
hit structure
1:413569 C12H14N2O
hit structure
1:413570 C9H18N2O2
hit structure
1:413571 C15H14N2O2
hit structure
1:413572 C11H26N2O4
hit structure
1:413573 C14H24N2O4
hit structure
1:413574 C11H26N2O4
hit structure

1
  <<    <    >    >>  

entries in data collection: 428490