Home Browse Text SearchFunctional Group SearchStructure SearchPreferences Administration

selected data collection: 1

IRIS SDF: browse content


1
  <<    <    >    >>  

1:412775 C15H12N4O2S
hit structure
1:412776 C15H15N7O2S
hit structure
1:412777 C12H9N3O3S
hit structure
1:412778 C30H23N5O3S
hit structure
1:412779 C12H22N4O6
hit structure
1:412780 C15H20N2O5S
hit structure
1:412781 C16H12N2O6
hit structure
1:412782 C7H12N4O3
hit structure
1:412783 C8H14N4O3
hit structure
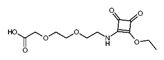
1:412784 C12H22N4O7
hit structure
1:412785 C23H28N4O5
hit structure
1:412786 C23H30N2O5
hit structure
1:412787 C27H34N2O8
hit structure
1:412788 C27H34N2O9
hit structure
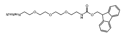
1:412789 C14H22N4O6
hit structure
1:412790 C12H17NO7
hit structure
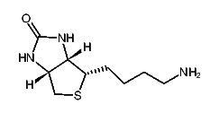
1:412791 C8H15N3O2
hit structure
1:412792 C12H22F6N6OP2
hit structure
1:412793 C12H17NO5Si
hit structure
1:412794 C5H6N2O
hit structure
1:412795 C24H37N5O3S3
hit structure
1:412796 C20H29N5O5S
hit structure
1:412797 C23H33N5O7S
hit structure
1:412798 C22H34N4O5S
hit structure
1:412799 C9H17N3OS
hit structure

1
  <<    <    >    >>  

entries in data collection: 418426