Home Browse Text SearchFunctional Group SearchStructure SearchPreferences Administration

selected data collection: 1

IRIS SDF: browse content


1
  <<    <    >    >>  

1:412675 C13H19N3O3
hit structure
1:412676 C11H15N5O4
hit structure
1:412677 C15H25N3O4S3
hit structure
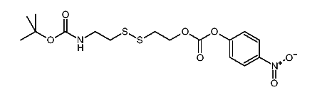
1:412678 C23H26N2O5S2
hit structure
1:412679 C10H18N4O3S2
hit structure
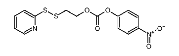
1:412680 C10H15NO3S2
hit structure
1:412681 C53H59N3O5S
hit structure
1:412682 C53H60N4O4S
hit structure
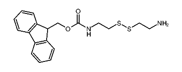
1:412683 C19H22N2O2S2
hit structure
1:412684 C14H26N4O2S3
hit structure
1:412685 C9H12N2O4
hit structure
1:412686 C7H8N2O2
hit structure
1:412687 C17H21N3O8
hit structure
1:412688 C10H12N2O6
hit structure
1:412689 C15H21NO4
hit structure
1:412690 C28H31N3O8
hit structure
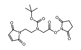
1:412691 C12H18N4O4
hit structure
1:412692 C13H19N3O2S
hit structure
1:412693 C14H12N2O5S2
hit structure
1:412694 C9H19NO3S2
hit structure
1:412695 C16H22N2O7S2
hit structure
1:412696 C19H21NO3S2
hit structure
1:412697 C26H24N2O7S2
hit structure
1:412698 C19H14N2O5S2
hit structure
1:412699 C14H21NO3S2
hit structure

1
  <<    <    >    >>  

entries in data collection: 418426