Home Browse Text SearchFunctional Group SearchStructure SearchPreferences Administration

selected data collection: 1

IRIS SDF: browse content


1
  <<    <    >    >>  

1:412600 C32H40N2O9
hit structure
1:412601 C36H43N3O11
hit structure
1:412602 C59H69N3O14S3
hit structure
1:412603 C25H21N3O4
hit structure
1:412604 C36H42N4O9
hit structure
1:412605 C29H36N2O6
hit structure
1:412606 C39H51N5O8S
hit structure
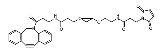
1:412607 C26H30N2O4
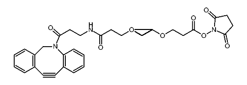
hit structure
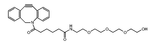
1:412608 C26H30N2O4
hit structure
1:412609 C26H30N2O4
hit structure
1:412610 C26H30N2O4
hit structure
1:412611 C9H6N4O2
hit structure
1:412612 C15H10N2O6
hit structure
1:412613 C16H12N2O6
hit structure
1:412614 C15H10N2O6
hit structure
1:412615 C16H12N2O6
hit structure
1:412616 C12H12N2O6
hit structure
1:412617 C22H29N3O7
hit structure
1:412618 C14H16N2O6
hit structure
1:412619 C13H14N2O6
hit structure
1:412620 C18H16N2O6
hit structure
1:412621 C17H21N3O7
hit structure
1:412622 C21H26O4S3
hit structure
1:412623 C20H21N3O6S2
hit structure
1:412624 C18H22N2O5S
hit structure

1
  <<    <    >    >>  

entries in data collection: 418426