Home Browse Text SearchFunctional Group SearchStructure SearchPreferences Administration

selected data collection: 1

IRIS SDF: browse content


1
  <<    <    >    >>  

1:412255 C26H35N7O5S
hit structure
1:412256 C28H39N7O6S
hit structure
1:412257 C30H43N7O7S
hit structure
1:412258 C36H55N7O10S
hit structure
1:412259 C40H63N7O10S
hit structure
1:412260 C23H28IN3O7
hit structure
1:412261 C29H40IN3O8
hit structure
1:412262 C30H42IN3O7
hit structure
1:412263 C31H44IN3O11
hit structure
1:412264 C32H47ClN4O6S
hit structure
1:412265 C38H59ClN4O7S
hit structure
1:412266 C26H25N3O3
hit structure
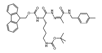
1:412267 C29H30N4O4
hit structure
1:412268 C45H53N7O7S
hit structure
1:412269 C49H45N5O5
hit structure
1:412270 C34H38N4O6
hit structure
1:412271 C48H44N4O4S
hit structure
1:412272 C35H40N4O6
hit structure
1:412273 C50H47N5O5
hit structure
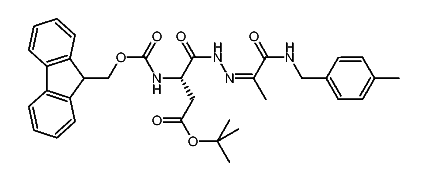
1:412274 C28H28N4O4
hit structure
1:412275 C51H46N6O4
hit structure
1:412276 C33H38N4O4
hit structure
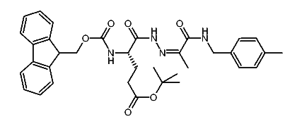
1:412277 C32H36N4O4
hit structure
1:412278 C37H45N5O6
hit structure
1:412279 C31H34N4O4S
hit structure

1
  <<    <    >    >>  

entries in data collection: 418426