Home Browse Text SearchFunctional Group SearchStructure SearchPreferences Administration

selected data collection: 1

IRIS SDF: browse content


1
  <<    <    >    >>  

1:411455 C7H15NO2
hit structure
1:411456 C6H13NO2
hit structure
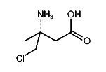
1:411457 C5H10ClNO2
hit structure
1:411458 C9H17NO2
hit structure
1:411459 C10H19NO2
hit structure
1:411460 C7H15NO2
hit structure
1:411461 C7H13NO2
hit structure
1:411462 C7H13NO3
hit structure
1:411463 C5H9NO2
hit structure
1:411464 C6H11NO2
hit structure
1:411465 C16H26N2O4
hit structure
1:411466 C16H22N2O4
hit structure
1:411467 C18H34N2O4
hit structure
1:411468 C18H30N2O4
hit structure
1:411469 C8H15NO2
hit structure
1:411470 C7H13NO2
hit structure
1:411471 C12H18N2O4
hit structure
1:411472 C14H26N2O4
hit structure
1:411473 C16H30N2O4
hit structure
1:411474 C7H13NO2
hit structure
1:411475 C16H30N2O4
hit structure
1:411476 C14H22N2O4
hit structure
1:411477 C14H22N2O4
hit structure
1:411478 C18H30N2O4
hit structure
1:411479 C6H13NO2
hit structure

1
  <<    <    >    >>  

entries in data collection: 418426