Home Browse Text SearchFunctional Group SearchStructure SearchPreferences Administration

selected data collection: 1

IRIS SDF: browse content


1
  <<    <    >    >>  

1:407788 C17H25N3O5
hit structure
1:407789 C11H16N2O4
hit structure
1:407790 C19H21N3O10
hit structure
1:407791 C9H10O3S
hit structure
1:407792 C26H38N4O7S
hit structure
1:407793 C16H22N4O5
hit structure
1:407794 C19H25NO6
hit structure
1:407795 C10H15N3O2
hit structure
1:407796 C13H28BrN5O4
hit structure
1:407797 C31H26N2O7S2
hit structure
1:407798 C35H29N3O7S2
hit structure
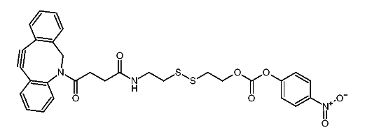
1:407799 C30H27N3O7S2
hit structure
1:407800 C30H57N3O13
hit structure
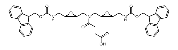
1:407801 C50H61N3O13
hit structure
1:407802 C13H26N2O5
hit structure
1:407803 C28H31NO5S
hit structure
1:407804 C13H8O3
hit structure
1:407805 C8H5N3S
hit structure
1:407806 C6H3Br2NO4
hit structure
1:407807 C35H38Br2N4O9
hit structure
1:407808 C8H8Br2N2O4
hit structure
1:407809 C37H43Br2N5O9
hit structure
1:407810 C6H4BrNO4
hit structure
1:407811 C35H39BrN4O9
hit structure
1:407812 C9H13BrN2O4
hit structure

1
  <<    <    >    >>  

entries in data collection: 413394