Home Browse Text SearchFunctional Group SearchStructure SearchPreferences Administration

selected data collection: 1

IRIS SDF: browse content


1
  <<    <    >    >>  

1:40777 C65H54N2O6
hit structure
1:40778 C66H56N2O6
hit structure
1:40779 C59H53N3O7
hit structure
1:40780 C57(13C)5H63N(15N)4O8S
hit structure
1:40781 C43(13C)6H46N(15N)O5
hit structure
1:40782 C48(13C)6H55N(15N)2O7
hit structure
1:40783 C43(13C)5H44N(15N)O5
hit structure
1:40784 C9H25NO
hit structure
1:40785 C25H30N2
hit structure
1:40786 C21H21NS
hit structure
1:40787 C61H66N4O10
hit structure
1:40788 C46H60N4O13
hit structure
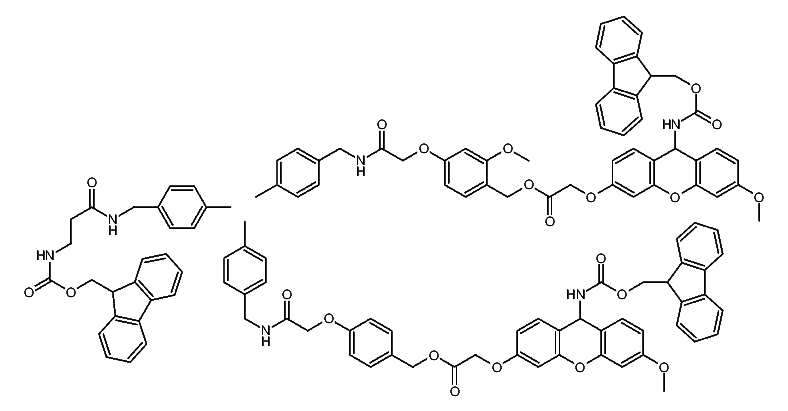
1:40789 C125H120N6O22
hit structure
1:40790 C110H114N6O25
hit structure
1:40791 C96H97N7O14
hit structure
1:40792 C34H33NO5
hit structure
1:40793 C33H31NO5
hit structure
1:40794 C36H37NO5
hit structure
1:40795 C33H31NO5
hit structure
1:40796 C34H33NO5
hit structure
1:40797 C41H46N2O7
hit structure
1:40798 C40H42N2O7
hit structure
1:40799 C46H52N4O7S
hit structure
1:40800 C51H48N2O7
hit structure
1:40801 C35H31NO5
hit structure

1
  <<    <    >    >>  

entries in data collection: 46058