Home Browse Text SearchFunctional Group SearchStructure SearchPreferences Administration

selected data collection: 1

IRIS SDF: browse content


1
  <<    <    >    >>  

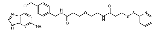
1:407713 C31H40N8O9
hit structure
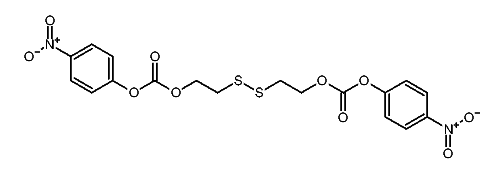
1:407714 C21H21N7O2S2
hit structure
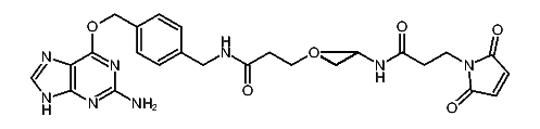
1:407715 C26H30N8O4S2
hit structure
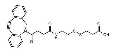
1:407716 C34H31N7O3
hit structure
1:407717 C24H22N2O2
hit structure
1:407718 C23H21F9N4O4S
hit structure
1:407719 C21H16F9NO5S
hit structure
1:407720 C35H41F9N4O6S2
hit structure
1:407721 C16H30N4O4S
hit structure
1:407722 C7H7N3O
hit structure
1:407723 C8H4N2O4S
hit structure
1:407724 C12H16N2O5S2
hit structure
1:407725 C5H9N3O2S2
hit structure
1:407726 C24H24N2O4S2
hit structure
1:407727 C14H24N6O2S3
hit structure
1:407728 C20H22BNO7
hit structure
1:407729 C36H35BN2O13
hit structure
1:407730 C11H12N4O5S2
hit structure
1:407731 C18H16N2O10S2
hit structure
1:407732 C19H14N2O4S3
hit structure
1:407733 C10H17NOS
hit structure
1:407734 C13H22N2O2S
hit structure
1:407735 C14H21NO4S
hit structure
1:407736 C18H34N4O5S
hit structure
1:407737 C10H8N4OS
hit structure

1
  <<    <    >    >>  

entries in data collection: 413394