Home Browse Text SearchFunctional Group SearchStructure SearchPreferences Administration

selected data collection: 1

IRIS SDF: browse content


1
  <<    <    >    >>  

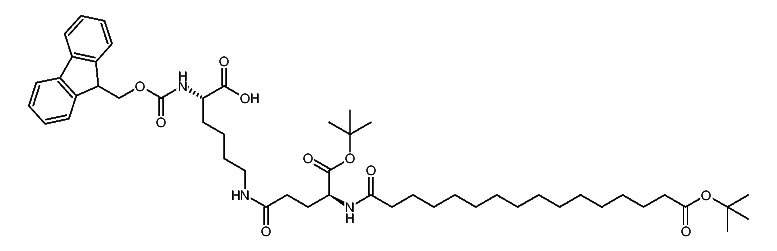
1:405763 C50H75N3O10
hit structure
1:405764 C29H29NO6
hit structure
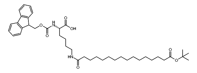
1:405765 C41H60N2O7
hit structure
1:405766 C27H30N2O5
hit structure
1:405767 C27H21N3O4
hit structure
1:405768 C27H21N3O4
hit structure
1:405769 C27H21N3O4
hit structure
1:405770 C30H34N2O10
hit structure
1:405771 C21H32O11
hit structure
1:405772 C30H48N8O10
hit structure
1:405773 C56H66F4N2O18
hit structure
1:405774 C27H35NO9
hit structure
1:405775 C34H35NO10S
hit structure
1:405776 C34H35NO10S
hit structure
1:405777 C40H43NO16S
hit structure
1:405778 C22H29NO9
hit structure
1:405779 C6H11NO3
hit structure
1:405780 C6H13NO2
hit structure
1:405781 C6H13NO2
hit structure
1:405782 C7H15NO2
hit structure
1:405783 C11H22N2O4
hit structure
1:405784 C6H14N2O2
hit structure
1:405785 C11H15NO2
hit structure
1:405786 C5H11NO2S
hit structure
1:405787 C7H15NO2
hit structure

1
  <<    <    >    >>  

entries in data collection: 448618